發布于:2020/7/27 9:41:00 點擊量:137
自力式液位控制閥關閥時間模型及計算
摘要:介紹了自力式液位控制裝置的工作原理和性能。通過建立關閥時間的數學模型,編制計算程序求解了關閥時間。
符號 說 明
Q ———環形間隙內的流體流量 , m 3 /h
L ———環形間隙的長度 , m
Δ P ———作用在 L 范圍內的壓差 , MPa
μ———流體的動力粘度 , Pa · s
r 1 , r 2 ———表示層流斷面的半徑 , 分別為 d 1 , d 2的 1/ 2 , m
k ———彈簧的剛度
d ———主閥芯的基本寬度 , mm
x ———主閥的開度 , mm
Δ x ———彈簧的變形量 , mm
P av ———節流孔處的起始真空度 , MPa
x 1 ———主閥的上限開度
K ———由實驗結果擬和的線系數
ζ———阻力系數 , 取決于閥的結構、口徑和開度
ω———閥門通道的截面積
1 概述
油庫收發油作業過程中必須防止跑冒油事故的發生 , 以保證灌裝操作的安全。根據收發油作業的現狀及液位自力式控制裝置的應用情況 , 研制了一種完全依靠輸送流體自身壓力控制閥門動作的全機械式結構裝置。該裝置在罐車液位到達安全線時能及時自動關閉閥門 ,在關閉閥門時能減小水擊危害。
2 工作原理
閥門 ( 圖1)的開啟或關閉狀態主要由主閥芯受力狀態及彈簧的變形情況決定。其影響因素主要有流體壓力、有效通徑及閥門的泄漏情況。在主閥尚未開啟的情況下 , 外腔體即主閥芯下部的流體壓力近似為泵的出口壓力 , 該壓力所形成的向上作用力大于彈簧的彈性力 , 主閥開啟 , 開始正常的灌裝作業。當接受油料的罐車液位到達設定的控制液位時 , 浮筒上升堵塞控制油路通往受油裝置的出流小孔 , 從而在控制裝置內腔建立與外腔一致的流體壓力 , 主閥芯在彈簧力作用下關閉 , 完成整個液位控制過程 , 主閥芯的下降速度與小孔泄流流量相適應。

在主閥開始工作后 , 外部壓力流體經小孔泄流后進入主閥的環形腔內及其他空間間隙 , 環形間隙的結構特點使得流體的流動具有很大的阻力 , 同時介質的工況不同將造成閥門關閉時間的不一致。
3 關閥特性分析模型
3.1 關閥時間
在實際流動過程中 , 閥門內部流道的流動狀態是三維的 , 由于控制裝置采用內外腔套層的結構形式 , 其內部的泄流間隙很小 , 可近似認為其流動狀態為層流 ( 圖2)。則由不可壓縮流體本構方程—廣義牛頓內摩擦定律和納維斯 - 斯托克斯方程。可以得到環形間隙中流體的流量 Q 為
![]()

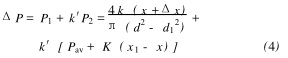
忽略流體介質回流的影響 , 則閥芯受彈簧變形產生的壓力P 1 為
![]()
節流孔處的壓力 P 2 變化隨主閥開度的變化而變化。
P 2 = P av + K ( x 1 -x) (3)
則環形縫隙的壓差Δ P 為

由于自力式液位控制裝置與液位開關配合使用起到控制液位的作用 , 由質量守恒定律和阿基米德定理可知 , 當浮筒液位變化了 d x 時
![]()
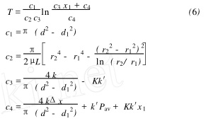
聯立以上各公式 , 積分后求得閥門的關閉時間為

3.2運動機理
自力式液位控制裝置的主要元件是差動控制閥, 它對整個閥門關閉時間的長短及水擊危害的大小有重大影響。閥門關閉過程中 , 閥門開度的變化對整個流體的流動方程及阻尼系數有重大影響。閥門的關閉特性隨著時間而改變 , 由水力學知識可以得到其阻力特性Δ H 為
閥芯的運動過程應是先在減速正流中緩慢關小, 在加速逆流中加速關小 , 在關閉的瞬間流體流速突變為 0 , 即將產生水擊。其運動方程為
![]()
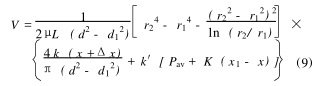
在關閥過程中閥芯的移動速度 V 可以表示為
![]()
在關閥過程中閥芯的移動速度 V 可以表示為

4 編程計算關閥特性
由于采用手工方法計算工作量很大 , 所以采用VB 6 1 0 編程語言計算 ( 圖3)。計算得到關閥時間t =3 1 62s 。閥芯移動速度值如表 1 所示。
5 結語
自力式液位控制閥依靠輸送流體自身壓力控制閥門動作 , 保證了油料灌裝和收油系統的安全。該裝置在實際應用過程中需要考慮其關閥時間 , 分析其啟閉特性 , 通過建立數學模型和用 VB 6 1 0 編制程序計算 , 可以準確得到關閥時間及閥芯的運動速度 , 以便更好地適應工況條件。
參 考 文 獻
〔 1 〕 梁國偉 , 蔡武昌 . 流量測量技術及儀表 〔 M 〕 . 北京 : 機械工業出版社 ,2002 : 158 - 159.
〔 2 〕 陳錫劍 . 運油車一次油氣回收接頭的改制 〔 J 〕 . 專用汽車 ,2004(1) : 21 - 22.
〔 3 〕 齊鄂榮 , 曾玉紅 . 工程流體力學 〔 M 〕 . 湖北 : 武漢大學出版社 ,2005 : 380 - 382.
〔 4 〕 金忠青 . N - S 方程的數值解與紊流模擬 〔 M 〕 . 河北 : 河海大學出版社 ,1989 : 206 - 208.
〔 5 〕 杜強 , 等 . 防水錘球形止回閥流場數值模擬和試驗研究
〔 J 〕 . 閥門 , 2006 (4): 14 - 16.
〔 6 〕 Wylie EB , StreeterVL. Fluid Transient (Corrected Edition)
〔 M 〕 . Feb Press, Michigan , 1983 : 127 - 129.
( 收稿日期 : 2007 112 121)
版權所有 © 自力式壓力調節閥-氣動調節閥-電動調節閥-氮封閥廠家 浙ICP備18052799號-2